В работе вводятся понятия трех видов постоянных времени для катушек индуктивности, находящихся в цепях постоянного и переменного тока. Они активные, реактивные и полные постоянные времени. Приводятся экспериментальное данные по определению этих постоянных времени и соответствующих им частот. Полученные экспериментальные данные совпадают с теоретическими.
Ключевые слова : цепь, сопротивление, реактив, актив, ток, процесс,индуктивность.
При изучении переходных явлений (процессов) в цепях с индуктивной петлей можно выделить три ситуации:
1) идеальный случай ( X L < <r< em=""> ), когда учитывается только активное сопротивление R , и не учитывается реактивное сопротивление X L ; </r<>
2) идеальный случай ( R << X L ), когда учитывается только реактивное сопротивление X L , а не активное сопротивление R ;
3) реальный случай, когда учитываются активное сопротивление R и реактивное сопротивление X L .
Для характеристики возможных переходных событий в трех упомянутых случаях можно ввести следующие понятия постоянной времени:
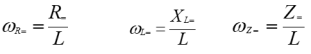
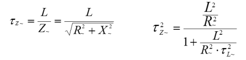
Поскольку существуют цепи как постоянного, так и переменного тока, эти цепи будут иметь свои собственные постоянные времени. Давайте сначала посмотрим на постоянные времени, которые характеризуют цепь переменного тока. Постоянные времени для этих цепей:
Общее сопротивление отвода в цепи переменного тока определяется следующим образом
Подставив это уравнение в формулу 2, преобразуем приведенную выше формулу математически, учитывая в том числе и формулу 1.
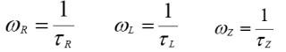
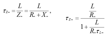
Теперь давайте посмотрим на постоянные времени, характеризующие цепь постоянного тока. Установлено, что в цепи постоянного тока с индуктивной петлей имеется реактивное сопротивление, а полное сопротивление петли определяется следующим соотношением.
Для постоянного контура:
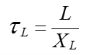
Введем следующие определения:
Здесь:
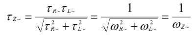
При регистрации в цепи переменного тока (7):
Для цепи постоянного тока:
По результатам экспериментов установлено, что индуктивность в цепи постоянного и переменного тока принимает одинаковые значения,
То их можно объяснить следующим образом.
В цепях постоянного и переменного тока частотой
f =50 Gs
полученные для двух цифровых индукторов
Таблица 1
|
|
U =
|
I =
|
U R=
|
U L=
|
X L=
|
R =
|
L =
|
Z =
|
|
|
|
|
1200 |
20 |
0,38 |
5,1 |
14,9 |
39,2 |
13,42 |
0,19 |
52,63 |
206,315 |
70,63 |
277 |
|
1400 |
20 |
0,255 |
8,9 |
11,1 |
43,53 |
34,9 |
0,709 |
78,43 |
61,396 |
49,22 |
110,62 |
Таблица 2
|
|
|
|
|
cos
|
|
|
|
|
|
|
|
|
|
1200 |
24 |
0,38 |
3 |
0,3289 |
59,65 |
20,77 |
0,19 |
63,16 |
314 |
109,3 |
332,42 |
70,8 |
|
1400 |
58 |
0,255 |
3 |
0,2028 |
222,72 |
46,14 |
0,709 |
227,45 |
314 |
65,08 |
320,8 |
78,3 |
Здесь:
Для нахождения частот в цепи переменного тока измеряем величины и пользуемся следующими формулами:
Найдем индуктивные параметры и
Для нахождение частот в цепи постоянного тока измеряем величины и пользуемся следующими формулами:
Находим параметры петли индуктивности и
Экспериментально полученные частоты можно проверить по формуле (13):
Литература:
- Буртаев Ю. В., Овсянников П. Н. Теоретические основы електротехники /Под редакции М. Ю. Зайчика. –М.: Энергоатомиздат, 1984.
- Борисов Ю.М и др. Электротехника / Ю. М. Борисов, Д. Н. Липатов, Ю. Н. Зорин.- М.: Энергоатомиздат, 1985.
- T. A. Kuliýew, M. Bendow “Elektrik shemalarynyň dördünji elementi”, Türkmenistanda Ylym we tehnika, 2016, № 5.
- T. A. Kuliýew, M. Bendow “Hemişelik toguň zynjyryndaky induktiw tegegiň reaktiw garşylygy” Bilim, 2018, № 1 sahypa 29.

