В работе исследована фотокаталитическая активность тонких пленок ZnO<cu, fe="">, полученных золь-гель методом, в модельной реакции окисления метиленового синего. Пленки были получены с использованием следующих прекурсоров: ацетат цинка, 2-метоксиэтанол, 2-аминоэтанол, ацетат меди, нитрат железа. Выяснено, что введение в оксид цинка небольших количеств меди улучшает фотокаталитическую активность, а введение железа, напротив, ухудшает. Также в работе предложена модель фотодеградации метиленового синего на полученных образцах.</cu,>
Ключевые слова: золь-гель технология, фотокатализ, оксид цинка, наноструктурированные пленки.
В настоящее время солнечный свет признан одним из наиболее перспективных альтернатив источникам энергии на ископаемом топливе [1]. Поэтому разработка и исследование новых материалов, способных преобразовывать солнечное излучение в тепловую, электрическую и химическую энергии, является одним из приоритетов перехода к экологически чистой и ресурсосберегающей энергетике [2]. Особый интерес в этом направлении представляют полупроводниковые материалы, которые из-за способности фотогенерации свободных носителей заряда могут быть использованы для выработки электроэнергии, а также инициирования химических процессов. Поэтому на сегодняшний день наиболее востребованные солнечные энергетические технологии — это изготовление солнечных батарей и фотокатализаторов. Однако несмотря на усилия и заметные успехи в этих направлениях, возможности технической реализации сдерживаются недостаточной изученностью особенностей процессов, протекающих в структурах и, как следствие, низких значений коэффициента поглощения и квантовой эффективности при преобразовании солнечной энергии [3].
Использование фотокатализаторов для очистки сточных вод предприятий, фотолиза воды, синтеза органического топлива в настоящее время является реальной перспективой, уже вышедшей на уровень пилотных и опытных установок. Несмотря на это, эффективность фотокатализаторов все еще оставляет желать лучшего, и поэтому имеют большую актуальность исследования, направленные на разработку инновационных подходов к синтезу материалов с использованием новых эффектов, позволяющих увеличить эффективность преобразования солнечной энергии в фотокаталитических процессах [4, 5].
В настоящее время все подходы по улучшению «светособирающих» свойств полупроводниковых фотокатализаторов можно разделить на две группы: расширение области спектра оптического отклика полупроводника и усиление взаимодействия потока света с полупроводником [6]. В настоящей работе проведено исследование влияния целенаправленного легирования оксида цинка катионами металлов (Cu и Fe) на фотокаталитические свойства в модельной реакции окисления метиленового синего.
В качестве прекурсоров для синтеза пленкообразующих золей использовались следующие реагенты: дигидрат ацетата цинка (CH3COO)2Zn·2H2O, 2-метоксиэтанол CH3OCH2CH2OH, 2-аминоэтанол HOCH2CH2NH2, нонагидрат нитрата железа Fe(NO3)3·9H2O, моногидрат ацетата меди (CH3COO)2Cu·H2O — производство Sigma-Aldrich®, США. В качестве подложек было использовано предметное стекло.
Для получения пленок ZnO<cu, fe=""> использовалась следующая методика: 10 г (CH3COO)2Zn·2H2O, 20 мл CH3OCH2CH2OH и 3,2 мл HOCH2CH2NH2 и прекурсоры соответствующих металлов смешивались в круглодонной колбе и перемешивались в течение 15 минут при комнатной температуре до полного растворения ацетата цинка. На втором этапе раствор перемешивался в течение 60 мин при температуре 60 °С с помощью магнитной мешалки. Полученный золь созревал в течение 24 ч при комнатной температуре и наносился на подложки методом погружения (dip-coating). </cu,>
Формирование ZnO<cu, fe=""> производилось методом центрифугирования. Окончательный отжиг проводился в течение 120 мин при 600 °С. </cu,>
На рисунке 1 приведена структура поверхности синтезированных образцов, полученная методом атомно-силовой микроскопии.
|
|
|
|
а) |
б) |
Рис. 1. Структура поверхности пленок ZnO
Анализ полученных изображений показывает, что в обоих случаях архитектура образцов представлена ветвистыми структурами полупроводникового материала, собранного из первичных зерен, полученных в золе на ранних этапах его синтеза. Однако в образце ZnO
Все полученные образцы, а также контрольный образец нелегированного оксида цинка, полученного по аналогичной методике, были протестированы на фотокаталитическую активность в модельной реакции окисления метиленового синего.
Анализ полученных экспериментальных данных указывает на то, что процессы фотодеградации метиленового синего являются реакцией, близкой к реакции первого порядка. На рисунке 2 представлены константы скорости для всех полученных образцов.
Рис.2. Константы скорости фотокаталитического разложения метиленового синего на полученных образцах
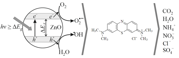
Анализ рисунка показывает, что введение в оксид цинка меди улучшает его фотокаталитическую активность, а введение железа, напротив, ухудшает. На рисунке 3 приведена предполагаемая схема процессов, происходящих при фотокаталитическом окислении метиленового синего.
Рис.3. Схема процессов фотокаталитического окисления метиленового синего
При действии на фотокатализатор УФ-излучения с энергией равной (или большей) ширине запрещенной зоны (для ZnO ΔEg = 3,5 эВ) происходит генерация электронно-дырочной пары. Фотогенерированные положительные дырки валентной зоны реагируют с адсорбированной на поверхности ZnO водой, либо гидроксогруппами. Данный процесс приводит к образованию радикала •ОН, обладающего сильными окислительными свойствами. Электроны зоны проводимости реагируют с акцепторами электронов, такими, как адсорбированный на поверхности кислород или кислород, растворенный в воде. Данный процесс приводит к образованию супероксидного радикала
. Полученные высокоактивные радикалы вступают во взаимодействие с метиленовым синим с образованием промежуточных соединений, которые, разлагаясь, образуют неорганические ионы, как показано на рисунке 3.
Таким образом, в работе проведено исследование фотокаталитической активности тонких пленок ZnO<cu, fe="">, полученных золь-гель методом, в модельной реакции окисления метиленового синего. Показано, что введение катионов металлов в оксид цинка позволяет как улучшать фотокаталитическую активность, так и ухудшать ее. </cu,>
Авторы выражают благодарность Мараевой Е. В. (к.т.н., ассистент кафедры микро- и наноэлектроники СПбГЭТУ «ЛЭТИ») за помощь в исследовании структуры образцов.
Работа выполнена при финансовой поддержке РФФИ в рамках научного проекта № 16–32–00053 мол_а.
Литература:
- Dresselhaus M. S., Thomas I. L. Alternative energy technologies //Nature. — 2001. — Т. 414. — №. 6861. — С. 332–337.
- Goumas M., Lygerou V. An extension of the PROMETHEE method for decision making in fuzzy environment: Ranking of alternative energy exploitation projects //European Journal of Operational Research. — 2000. — Т. 123. — №. 3. — С. 606–613.
- Asahi R. et al. Visible-light photocatalysis in nitrogen-doped titanium oxides // Science. — 2001. — Т. 293. — №. 5528. — С. 269–271.
- Пронин И. А. и др. Фотокаталитическое окисление фармацевтических препаратов на тонких наноструктурированных пленках оксида цинка //Кинетика и катализ. — 2014. — Т. 55. — №. 2. — С. 176–176.
- Пронин И. А. и др. Взаимосвязь фотокаталитических и фотолюминесцентных свойств оксида цинка, легированного медью и марганцем //Физика и техника полупроводников. — 2014. — Т. 48. — №. 7. — С. 868–874.
- Hoffmann M. R. et al. Environmental applications of semiconductor photocatalysis //Chemical reviews. — 1995. — Т. 95. — №. 1. — С. 69–96.

