Гидродинамические методы увеличения нефтеотдачи
Гидродинамическими называются методы объемного воздействия на пласт, реализуемые в пределах существующих систем разработки, при которых вытесняющим агентом является закачиваемая вода.
Гидродинамические методы чаще всего применяются на третьей и четвертой стадиях разработки эксплуатационных объектов, относятся ко вторичным методам добычи нефти [7].
Основные цели методов: повышение охвата пластов заводнением, доизвлечение остаточных запасов нефти после воздействия системы заводнения, снижение текущей обводненности добываемой жидкости.
Гидродинамические МУН делятся на:
— изменение направления фильтрационных потоков;
— циклическое заводнение;
— форсированный отбор жидкости;
— комбинированное нестационарное заводнение.
Изменение направления фильтрационных потоков
Сущность технологии заключается в том, что при обычном процессе заводнения в пласте образуются участки, обойденные водой. Это происходит вследствие разницы коэффициентов подвижности нефти и воды, неоднородности коллекторских свойств продуктивного пласта. В процессе изменения фронта нагнетания в пласте образуются переменные по величине и направлению градиенты давления, нагнетаемая вода внедряется в участки, неохваченные заводнением и вытесняет нефть в зоны фильтрации.
Технология изменения направления фильтрационных потоков заключается в поэтапном изменении закачки воды в нагнетательные скважины. На первом этапе работают одни нагнетательные скважины (рисунок 1а), на втором этапе работающие нагнетательные скважины останавливают и начинают работу другие (рисунок 1б). В результате происходит изменение направления фильтрационных потоков.
Рис. 1. Схема изменения направления фильтрационных потоков
Данный метод требует небольшой резерв мощности насосных станций, наличия активной системы заводнения. Более эффективно использовать технологию в случаях повышенной неоднородности пластов, высоковязкой нефти и применения в первой трети основного периода разработки [7].
Циклическое заводнение
Суть метода заключается в том, что в пластах, обладающих геологической неоднородностью по проницаемости искусственно создается нестационарное давление.
При циклическом заводнении цикл делится на два полуцикла. В первом полуцикле осуществляется нагнетание воды в продуктивный пласт. Происходит переток части воды из прослоя высокой проницаемости (ВП) в прослой низкой проницаемости (НП). Другая часть воды фильтруется по высокопроницаемому прослою, вытесняя нефть в направлении добывающей скважины. Во втором полуцикле происходит снижение давления нагнетания или прекращение закачки. В связи с этим, давление в ВП снижается (Pвп<pнп). <="" [8].="" p="" а="" большей="" в="" вода="" вп="" высокой="" вытесняется="" гидрофильности="" давление="" далее="" добывающей="" забою="" и="" из="" к="" капиллярными="" коллектора,="" нагнетательная="" начинает="" нефть="" нефть,="" низкой="" нп="" обладает="" перетекает="" пласте="" поскольку="" поступившая="" проницаемости="" проницаемости.="" прослой="" прослоя="" работать="" сжимаемостью,="" силами,="" силу="" скважина,="" скважины="" увеличивается="" удерживается="" чем="">
Критерии применимости метода:
— Наличие неоднородных по проницаемости гидрофильных коллекторов (высоко- и низкопроницаемых пропластков);
— Гидродинамическая связь между ВП и НП;
— Высокая остаточная нефтенасыщенность НП.
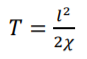
Оптимальный режим закачки чаще всего представляют в виде длительности полуцика (T):
где l — расстояние между добывающей и нагнетательной скважиной;
χ — пьезопроводность.
Форсированный отбор жидкости
Сущность метода состоит в создании высоких градиентов давления путем увеличения депрессий. Достигается это путем уменьшения забойного давления на добывающих скважинах или увеличения давления нагнетания.
Условия применимости метода:
— Чаще всего применяется при обводненности продукции выше 75 %;
— Высокие коэффициенты продуктивности и приемистости скважин;
— Коллектор устойчив, при снижении забойного не разрушается, давление нагнетания не превышает предел прочности породы;
— Обсадная колонна исправна, отсутствуют перетоки воды из других горизонтов;
— Для осуществления ФОЖ система сбора и подготовки продукции должна обладать необходимой пропускной способностью.
Технология заключается в поэтапном увеличении дебитов добывающих скважин. Технически ФОЖ осуществляется применением электронасосов с большой подачей или штанговыми насосами, работающими при полной нагрузке. Приступать к форсированному отбору следует постепенно, увеличивая дебит отдельных скважин на 30–50 %, а затем — в 2–4 раза.
Технологическая эффективность метода зависит от степени выработки запасов, времени форсирования, неоднородности объекта эксплуатации.
Эффективность ФОЖ, можно оценить сопоставляя дебит нефти, жидкости и обводненности до и после изменения режимов работы скважин. Прирост добычи нефти и жидкости должен быть пропорциональным.
Рекомендуемый комплекс мероприятий перед применением ФОЖ включает в себя проведение работ по выравниванию профилей приемистости на нагнетательных скважинах и профилей притока на добывающих, кислотные обработки ПЗП, проведение РИР по устранению перетоков.
К достоинствам метода можно отнести:
— В гидрофильных коллекторах при увеличении скорости потока происходит вовлечение в разработку капиллярно-удерживаемой нефти;
— В гидрофобных коллекторах при увеличении отборов жидкости происходит более эффективный доотмыв пленочно-связанной нефти;
— Снижение обводненности.
Недостатками метода является невозможность повсеместного использования и ограниченность размеров зон воздействия.
Комбинированное нестационарное заводнение
Сущность метода заключается в совместном применении циклического заводнения с изменением направления фильтрационных потоков, каждый из этих методов основан на нестационарной фильтрации жидкости.
Физическая сущность: при сочетании технологий, на процесс изменения направления фильтрационных потоков накладываются высокочастотные колебания давлений нагнетания и отбора со сменой фаз по группам скважин. Увеличение коэффициента охвата пласта заводнением происходит за счет увеличения площади дренирования, так и за счет притока нефти из низкопроницаемых прослоев.
Условия применимости метода:
— Наличие слоисто-неднородных по проницаемости или трещиновато-пористых гидрофильных коллекторов;
— Большая остаточная нефтенасыщенность НП;
— Наличие гидродинамической связи между НП и ВП;
— Технико-технологическая возможность создания высокой амплитуды колебания давления (расходов).
Метод технологичен, требует небольшого резерва и мощности насосных станций и наличия активной системы заводнения. Эффективность метода выше в пластах с высокой неоднородностью. Он позволяет поддерживать достигнутый уровень добычи нефти, снижать текущую обводненность и увеличивать охват пластов заводнением.
К недостаткам можно отнести невозможность использования метода при отсутствии гидродинамической связи между пропластками, а также снижение эффективности при длительном применении.
Руководящие документы:
РД 153–39.0–110–01 методические указания по геолого-промысловому анализу разработки нефтяных и газонефтяных месторождений.
РД 39–0147035–209–87 методическое руководство по определению технологической эффективности гидродинамических методов повышения нефтеотдачи пластов.
В заключении можно отметить, что основным преимуществом гидродинамических методов является их дешевизна, так как не требуется капитальных затрат, нет увеличения эксплуатационных затрат, но при этом необходим обязательный контроль и адаптация технологий заводнения к изменяющимся геолого-технологическим условиям.
Литература:
- А. Я. Третьяк и др. Методы увеличения нефтеотдачи пластов: учебное пособие. — Новочеркасск:ЮРГПУ (НПИ), 2010. — 227 с.
- А. Я. Третьяк, В. Ф. Чихоткин, Ю. М. Рыбальченко. Разработка и эксплуатация нефтяных и газовых месторождений: учебное пособие. — Новочеркасск: ЮРГПУ (НПИ), 2010. — 270 с.
- Боксерман А. А. Повышение нефтеотдачи — важная составляющая производственной программы ОАО «Зарубежнефть»//Нефтяное хозяйство — № 8. 2007 г.
- В. В. Попов, И. А. Богуш, А. Я. Третьяк, О. В. Савенок, А. В. Лаврентьев. Поиск, разведка и эксплуатация месторождений нефти и газа: учебник. — ЮРГПУ (НПИ) и КубГТУ, 2015. — 343 с.
- Гарушев А. Р., Гарушев Э. А., Коновалов А. Е. К проблеме разработки месторождений с трудноизвлекаемыми запасами нефти // Нефтепромысловое дело. — 2008. — № 3. — С. 4‑10.
- Деламаид Э. Химические методы увеличения нефтеотдачи с использованием горизонтальных скважин: промысловые исследования. Георесурсы. 2017. Т. 19. № 3. Ч. 1. С. 166–175.
- Коротенко В. А., Кряквин А. Б., Грачев С. И., Хайруллин Ам. Ат., Хайруллин Аз. Ам. Физические основы разработки нефтяных месторождений и методов повышения нефтеотдачи: учебное пособие — Тюмень: ТюмГНГУ, 2013, с.159.
- Л. М. Рузин, О. А. Морозюк. Методы повышения нефтеотдачи пластов: учебное пособие. — Ухта: УГТУ, 2014. — 127 с.

