Введение
« Конформное отображение (конформное преобразование) — отображение одной области (в плоскости или в пространстве) на другую область, сохраняющее углы между кривыми» [2]. К сожалению, в школьной программе не предусмотрено глубокое изучение этой темы, поэтому многие учащиеся не имеют о ней почти никакого представления. Я выбрала эту тему, потому что конформные преобразования составляют основу для многих современных технологий — они используются в машинном обучении и компьютерной графике, что наглядно показывает практическую ценность абстрактной математики.
Актуальность работы заключается в том, что конформные преобразования иллюстрируют фундаментальную математическую идею: возможность решения сложной задачи путём её упрощения за счёт применения подходящего преобразования.
Цель статьи — исследовать свойства конформных отображений на примере некоторых функций комплексного переменного и наглядно представить их с помощью компьютерной визуализации.
I. Теоретическая часть
1.1 История изучения и условия конформности
От картографии к комплексному анализу. Начало теории конформных отображений положил Л. Эйлер в 1777 году, исследуя задачу переноса поверхности сферы на плоскость [2]. Он доказал, что идеально точного отображения не существует, и классифицировал проекции по сохраняемым свойствам: углы (конформные), площади (эквивалентные) или взаимная перпендикулярность меридианов и параллелей [8, с. 60].
Базовым примером конформного отображения является стереографическая проекция (рис. 1). Через точку на сфере (кроме северного полюса) и северный полюс проводится прямая, которая пересекает плоскость в точке-образе [4]. Это отображение сохраняет углы, но искажает площади — чем дальше от центра, тем сильнее растяжение [4].
Рис. 1. Пример стереографической проекции (рисунок взят из Сети)
Условия конформности.
Любую комплексную функцию можно представить в виде
Это требование приводит к необходимым условиям дифференцируемости — условиям Коши — Римана [5]:
Если функция аналитична в области и её производная в точках области не равна нулю , то отображение является конформным , то есть сохраняет углы между кривыми [6, с. 24–25].
Соотношения, позднее названные условиями Коши — Римана, впервые появились у Д’Аламбера (1752) [5], а геометрический подход к конформным отображениям в работах Гаусса, подготовил почву для последующего синтеза идей комплексного анализа и геометрии [2].
Теорема Римана. Вершиной развития теории стала работа Б. Римана (1851 г.). Он доказал фундаментальную теорему: «Всякую односвязную область комплексной плоскости, граница которой состоит более чем из одной точки, можно конформно отобразить на внутренность единичного круга» [7, с. 49]. Единственное исключение — вся комплексная плоскость, поскольку её граница состоит всего из одной бесконечно удалённой точки [3, гл. 2].
Рис. 2. Визуализация теоремы Римана о отображении
Источник: https://mathematica.stackexchange.com/questions/210670/visualizing-the-riemanns-mapping-theorem?noredirect=1
Это теорема существования : она гарантирует возможность отображения, но не даёт готовой формулы [7, с. 49]. Её значение огромно: она позволяет изучать сложные физические процессы (гидродинамика, теплопроводность, теория упругости) на простой области-эталоне (единичном круге) с последующим переносом результатов на исходную область [2].
Таким образом, благодаря работам Эйлера, Коши, Гаусса и Римана конформные отображения превратились из инструмента картографии в фундаментальную математическую теорию с широкими приложениями.
1.2 Конформные преобразования стандартных областей
1.2.1 Линейное преобразование вида
Рассмотрим линейную функцию
Конформность.
Функция
Геометрическая интерпретация.
Представим коэффициент
Тогда линейное преобразование раскладывается в композицию следующих преобразований [3, гл.3]:
— гомотетия (масштабирование):
— поворот:
— параллельный перенос на вектор, соответствующий комплексному числу
Композиция преобразований, сохраняющих углы, также сохраняет углы.
Вывод.
Линейная функция
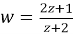
1.2.2 Дробно-линейное преобразование вида
Данное отображение является частным случаем дробно-линейного преобразования
Конформность.
Функция
Геометрическая интерпретация.
Запишем комплексное число в
показательной
форме
Значит, преобразование состоит из двух геометрических операций [3, гл.3]:
— инверсия относительно единичной окружности
— симметрия относительно действительной оси
Обе операции сохраняют углы, поэтому их композиция также конформна.
Круговое свойство.
Отображение
Вывод.
Функция
Таблица 1
Преобразование кривых при отображении
|
Исходная линия в плоскости
|
Образ в плоскости
|
|
Прямая, проходящая через начало координат |
Прямая, проходящая через начало координат |
|
Прямая, не проходящая через начало координат |
Окружность, проходящая через начало координат |
|
Окружность, проходящая через начало координат |
Прямая, не проходящая через начало координат |
|
Окружность, не проходящая через начало координат |
Окружность, не проходящая через начало координат |
1.2.3 Дробно-линейное преобразование вида
Дробно-линейное преобразование можно представить как композицию линейного преобразования и инверсии
Конформность.
Функция
Условие
Особые точки.
При
Вывод.
Дробно-линейная функция
Геометрические свойства дробно-линейных преобразований
Круговое свойство
. Каждое дробно-линейное отображение переводит любую окружность на комплексной плоскости снова в окружность (прямая считается окружностью бесконечного радиуса) [3, гл. 3]. Это следует из представления преобразования в виде композиции сдвига, масштабирования и инверсии
В прямую переходят только линии, проходящие через полюс
Таблица 2
Преобразование линий при отображении
|
Исходная линия в плоскости
|
Образ в плоскости
|
|
Прямая, проходящая через полюс |
Прямая |
|
Прямая, не проходящая через полюс |
Окружность |
|
Окружность, проходящая через полюс |
Прямая |
|
Окружность, не проходящая через полюс |
Окружность |
Сохранение симметрии.
Если две точки
Инвариантность двойного отношения.
Для любых четырёх попарно различных точек
Это свойство является характеристическим: любое конформное отображение, сохраняющее двойное отношение для любых четырёх точек, обязательно является дробно-линейным.
Особые случаи дробно-линейных преобразований
Дробно-линейные отображения включают ряд важных частных случаев, решающих конкретные задачи конформного соответствия.
Отображение верхней полуплоскости на единичный круг.
Преобразование верхней полуплоскости
Свойства отображения:
— действительная ось
— точка
— для любой точки из верхней полуплоскости выполняется
Частный случай
. При
Отображение единичного круга на единичный круг.
Преобразование, переводящее внутренность круга
Для внутренних точек
Отображение верхней полуплоскости на себя.
Преобразование, сохраняющее верхнюю полуплоскость
где условие
Для наглядной демонстрации рассмотренных свойств перейдём к компьютерному моделированию.
II. Практическая часть
2.1. Классы конформных отображений, используемых для анализа
Конформные отображения, сохраняя углы между кривыми, могут существенно искажать форму и размеры фигур. Цель данного раздела — исследовать эти искажения на примере классических конформных отображений, рассмотренных в первой главе. Для анализа выбраны следующие исходные объекты в
— прямые — показывают искривление;
— окружности — иллюстрируют инверсию и круговое свойство;
— прямоугольная сетка — демонстрирует глобальную деформацию;
— треугольник — подтверждает сохранение углов.
2.1.1. Линейное преобразование вида
Линейное преобразование комплексной плоскости имеет вид:
1. Преобразование прямой линии
Исходная фигура — горизонтальная прямая
Обозначив
Вывод
.
Горизонтальная прямая
2. Преобразование окружности
Для линейного преобразования
переходит в окружность с новым центром
Исходная фигура —единичная окружность
и радиус
Вычисление образа. Новый центр:
Вывод. Единичная окружность перешла в окружность радиуса
3. Преобразование прямоугольной сетки
Вертикальные прямые. Уравнение
уравнение образа:
Горизонтальные прямые. Уравнение
Вывод. Прямоугольная сетка перешла в наклонную ортогональную сетку прямых
Рис. 3. Исследование параметров линейного преобразования (создан с Python)
4. Преобразование треугольника
Исходная фигура — прямоугольный треугольник, расположенный в начале координат. Вершина
— угол
Вывод. Углы треугольника сохранились, катеты растянулись в 2 раза
Рис. 4. Линейное преобразование треугольника (создан с Python)
Таблица 3
Сравнение исходных фигур и их образов при линейном преобразовании
|
Исходная фигура (
-плоскость) |
Образ
(
|
Геометрическая интерпретация |
|
Горизонтальная прямая
|
Прямая с наклоном
|
Поворот на 45° и сдвиг, точка переместилась
из (
|
|
Окружность
центр
радиус
|
Окружность, центр
радиус
|
Центр сдвинут на вектор
радиус удвоен |
|
Прямоугольная сетка (вертикали и горизонтали) |
Наклонная ортогональная сетка
|
Поворот на
|
|
Треугольник
|
Преобразованный треугольник
|
Вершины сдвинуты, сохранение углов, растяжение катетов в 2 раза |
2.1.2 Дробно-линейные преобразование вида
Инверсия
1. Преобразование прямоугольной сетки
Исходная фигура — прямоугольная сетка, образованная семействами вертикальных и горизонтальных прямых (рис. 5).
Вертикальная прямая
Горизонтальная прямая
Особые случаи. Оси координат переходят в себя; при
Вывод. Инверсия переводит прямоугольную сетку в два ортогональных семейства окружностей, проходящих через начало координат (рис. 5). Центры окружностей лежат на вещественной и мнимой осях. Ортогональность сетки сохраняется, что подтверждает конформность отображения.
Рис. 5. Преобразования прямоугольной сетки при инверсии (создан с Python)
2. Преобразование отдельных прямых
Исходные фигуры. Три характерные прямые: вертикальная, горизонтальная и проходящая через начало координат (рис. 6).
Вертикальная прямая
Горизонтальная прямая
Прямая, проходящую через начало координат под углом
Вывод. Инверсия переводит прямые, не проходящие через начало координат, в окружности, проходящие через него, а прямые через начало координат — снова в прямые (с изменением угла наклона) (рис. 6). Это соответствует круговому свойству инверсии (табл. 1).
Рис. 6. Преобразования прямых при инверсии (создан с Python)
3. Преобразование окружностей
Исходные фигуры — три характерные окружности: единичная, смещённая (не проходящая через начало координат) и проходящая через начало координат.
Исходная фигура — единичная окружность
Исходная фигура — окружность
Важное замечание: центр исходной окружности
Исходная фигура — окружность
Центр окружности
Вывод. Инверсия переводит окружности, не проходящие через
Рис. 7. Преобразования окружностей при инверсии (создан с Python)
4. Преобразования треугольника
Исходная фигура — прямоугольный треугольник с вершинами
Образ стороны
Сохранение углов. Касательная к окружности в точке
Вывод. Инверсия сохраняет углы треугольника, подтверждая конформность, но искажает его форму: одна вершина уходит в бесконечность, стороны становятся лучами и дугой окружности (рис. 8).
Рис. 8. Преобразования треугольника при инверсии (создан с Python)
Таблица 4
Сравнение исходных фигур и их образов при инверсии
|
Исходная фигура (
|
Образ (
|
Геометрическая интерпретация |
|
Прямоугольная сетка |
Два ортогональных семейства окружностей |
Принцип двойственности инверсии между прямыми и окружностями |
|
Прямая
|
Окружность
радиус
центр
|
Прямая, не проходящая через
|
|
Прямая
|
Окружность
|
Прямая, не проходящая через
|
|
Прямая, проходящая ч/з
|
Прямая, проходящая через
угол
|
Прямая, проходящая через
|
|
Неподвижные точки
|
Неподвижные точки
|
Лежат на единичной окружности |
|
Окружность
центр
радиус
|
Окружность
центр
радиус
|
Единичная окружность инвариантна относительно инверсии |
|
Окружность
центр
радиус
|
Окружность
центр
радиус
|
Окружность, не проходящая через
|
|
Окружность, проходит ч/з
центр
радиус
|
Горизонтальная прямая
|
Окружность, проходящая через
|
|
Треугольник
(углы
|
«Разорванная» фигура
|
|
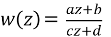
2.1.3 Дробно-линейное преобразование вида
Функция
Оно конформно всюду, кроме полюса
Ключевое свойство — круговое: любая окружность или прямая отображается на окружность или прямую.
1. Преобразование отдельных прямых
Исходные фигуры — три характерные прямые: вертикальная, горизонтальная и прямая через начало координат. Ни одна из них не проходит через полюс
Вертикальная прямая
Горизонтальная прямая
Прямая
Вывод. Преобразование
Рис. 9. Преобразование прямых, не проходящих через полюс (создан с Python)
2. Преобразование вертикальной прямой, проходящей через полюс
Исходная фигура — вертикальная прямая
Вывод. Прямая
Рис. 10. Преобразование прямой, проходящей через полюс (создан с Python)
- Преобразование окружностей
Исходные фигуры — две характерные окружности: проходящая через полюс и не проходящая через полюс (рис. 11).
Исходная фигура — единичная окружность
Исходная фигура — окружность
Вывод. Преобразование
Рис. 11. Преобразование окружностей (создан с Python)
- Сохранение симметрии относительно окружности
Если две точки
Вывод. Симметрия относительно окружности переходит в симметрию относительно образа этой окружности (мнимая ось
Рис. 12. Сохранение симметрии относительно окружности (создан с Python)
- Инвариантность двойного отношения
Для любых четырёх попарно различных точек
Возьмем четыре точки на действительной оси:
Их двойное отношение
При отображении
Вычисляем в
Вывод. Двойное отношение осталось неизменным, что подтверждает характерное свойство дробно-линейных преобразований (рис. 13).
Рис. 13. Инвариантность двойного отношения (создан с Python)
Особые свойства дробно-линейного отображения
6. Отображение верхней полуплоскости на единичный круг
Преобразование
Верхняя полуплоскость
Характерные точки:
внутренняя точка
полюс
внутренняя точка
точка на границе
внешняя красная точка
Прямоугольная сетка верхней полуплоскости (вертикали
Рис. 14. Отображение верхней полуплоскости на единичный круг (создан с Python)
7. Отображение единичного круга на единичный круг
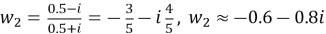
Дробно-линейное преобразование, отображающее единичный круг на себя, имеет вид:
Свойства преобразования: внутренность круга переходит во внутренность
Рассмотрим преобразование:
Так как
Преобразование принимает вид:
Характерные точки (рис. 15):
Рис. 15. Отражение единичного круга на единичный круг (создан с Python)
Вывод. Преобразование
Рис. 16. Отражение единичного круга на единичный круг (создан с Python)
8. Отображение верхней полуплоскости на себя
Дробно-линейное преобразование с вещественными коэффициентами и положительным определителем сохраняет верхнюю полуплоскость:
Рассмотрим
Для
Преобразование сохраняет верхнюю полуплоскость
Характерные точки и их образы (рис. 17):
точка
точка
точка
точка
точка
точка
точка
Рис. 17. Сохранение верхней полуплоскости (создан с Python)
Изменение сетки при дробно-линейном преобразовании
Горизонтали
Вывод. Преобразование
Таблица 5
Сравнение исходных фигур и их образов при дробно-линейном преобразовании
|
Исходная фигура (
|
Образ (
|
Геометрическая интерпретация |
|
Круговое свойство дробно-линейного отображения | ||
|
Точка
|
Точка
|
Переходит в центр круга |
|
Точка
|
Точка
|
Полюс отображения |
|
Вертикальная прямая
|
Окружность с центром
|
Вертикальная прямая, не проходящая через полюс, перешла в окружность, проходящую через
|
|
Горизонтальная прямая
|
Окружность с центром
|
Горизонтальная прямая, не проходящая через полюс, перешла в окружность, проходящую через
|
|
Прямая через начало координат
|
Окружность, с центром
|
Прямая через
через
|
|
Прямая
(мнимая ось),
|
Действительная ось
|
Прямая, проходящая через полюс, переходит в действительную ось |
|
Окружность через полюс
|
Прямая (мнимая ось)
|
Окружность, проходящая через полюс
|
|
Окружность, центр
|
Окружность,
центр
радиус
|
Окружность, не проходящая через полюс, осталась окружностью |
|
Сохранение симметрии относительно окружности | ||
|
Пара симметричных точек относительно окружности
|
Образы точек:
Образ окружности: мнимая ось
|
Точки
|
|
Инвариантность двойного отношения | ||
|
Четыре точки на действительной оси
|
Образы точек:
|
Двойное отношение четырёх точек остаётся неизменным |
|
Преобразование верхней полуплоскости и отображение в единичный круг | ||
|
|
|
Область сворачивается», её граница становится границей круга, точка
|
|
Прямоугольная сетка:
|
Ортогональная сеть окружностей, проходящие
через точку
|
Исходная ортогональная сетка сохранила ортогональность (конформность) |
|
Отображение единичного круга на единичный круг | ||
|
Точки:
|
Образы точек:
|
Преобразование
отражает единичный круг на себя |
|
Отображение верхней полуплоскости на себя | ||
|
Точки:
|
Образы точек:
|
Преобразование
сохраняет верхнюю полуплоскость и отображает действительную ось и верхнюю полуплоскость на себя |
|
Верхняя полуплоскость
Действительная ось
|
Верхняя полуплоскость
Действительная ось
|
Верхняя полуплоскость неравномерно сжимается к отрезку
Действительная ось отображается на себя |
|
Изменение сетки | ||
|
Прямоугольная сетка: |
Ортогональная сетка окружностей |
Сжатие сетки неравномерно, сильнее к полюсу, конформность сохраняется |
|
Горизонтали
вертикали
|
Окружность, проходящая через
|
Прямые превращаются в окружность, проходящие через образ бесконечности
|
Заключение
Целью статьи было изучение функций комплексного переменного через понимание важнейшего свойства конформности. В ходе работы эта цель была достигнута и свойства наглядно визуализированы.
В теоретической части проекта особое внимание уделено классификации и геометрической интерпретации основных видов конформных преобразований: линейных, инверсии и дробно-линейных.
Проведённые вычисления и визуализации в практической части наглядно демонстрируют, что каждое преобразование обладает уникальными геометрическими свойствами: линейные сохраняют параллельность и подобие, инверсия превращает окружности и прямые друг в друга, а дробно-линейные сочетают оба этих действия, сохраняя при этом верхнюю полуплоскость или единичный круг. Таким образом, работа подтвердила, что конформные преобразования, могут кардинально изменять геометрию объекта, сохраняя при этом его внутреннюю структуру.
Практическая значимость статьи заключается в том, что созданные визуализации могут быть использованы как учебные пособия на занятиях по комплексному анализу, помогая учащимся преодолеть абстрактность темы.
Литература:
1. Комплексные числа для чайников. Мнимая единица, действия с комплексными числами, комплексно сопряженные числа [Электронный ресурс] // MathProfi. — URL: Комплексные числа для чайников (дата обращения: 21.03.2026).
2. Конформное отображение // Большая российская энциклопедия [Электронный ресурс]. — URL: Конформное отображение. Большая российская энциклопедия (дата обращения: 21.03.2026).
3. Конформные отображения [Электронный ресурс] // VMath: учебники по высшей математике. — URL: Глава 2. Функции комплексного переменного [VMath] Глава 3. Конформные отображения [VMath] (дата обращения: 21.03.2026).
4. Стереографическая проекция [Электронный ресурс] // Википедия. — URL: Стереографическая проекция — Википедия (дата обращения: 21.03.2026).
5. Условия Коши — Римана [Электронный ресурс] // РУВИКИ. — URL: Условия Коши — Римана — Рувики: Интернет-энциклопедия (дата обращения: 21.03.2026).
6. Ахтамова, С. С. Теория функций комплексного переменного: учебно-методическое пособие / С. С. Ахтамова, Л. Н. Бадуленко. — Красноярск: Сиб. федерал. ун-т, 2018. — 80 с. — ISBN 978–5-7638–3925–8. [Электронный ресурс]: URL: *<4D6963726F736F667420576F7264202D20D2D4CACF20C0F5F2E0ECEEE2E02E646F63>(дата обращения: 21.03.2026).
7. Волков В. Т., Минаев Д. В., Могилевский И. Е., Попов В. Ю., Шапкина Н. Е. Теория функций комплексной переменной с примерами и задачами: пособие по математике для студентов физических, физико-математических и инженерных специальностей [Электронный ресурс] / Московский государственный университет имени М. В. Ломоносова, Физический факультет. — Москва: МГУ, 2024. — 201 с. — URL: 1_TFKP.dvi (дата обращения: 21.03.2026).
8. Из истории математики XVIII века. К предстоящему 300-летнему юбилею Леонарда Эйлера (1707–1783): сборник научных статей [Электронный ресурс] / М-во образования и науки РФ, Оренбургский гос. пед. ун-т; отв. ред. Г. П. Матвиевская. — Вып. 5. — Оренбург: Изд-во ОГПУ, 2006. — 108 с.: ил. — URL: Microsoft Word — euler_5_2006.doc (дата обращения: 21.03.2026).
9. Методическое пособие по теории функций комплексного переменного (ТФКП) [Электронный ресурс] / А. В. Ростовцев [и др.]; Министерство образования и науки РФ, Федеральное государственное бюджетное образовательное учреждение высшего образования «Ингушский государственный университет». — Магас: ИнгГУ, 2018. — 104 с. — URL: https://inggu.ru/images/documents/inf_sait_2018_opop/matematika/metodicheskoe_posobie_po_tfkp.pdf (дата обращения: 21.03.2026).

