Введение. Искусственный интеллект (ИИ) стремительно трансформирует инженерную практику, проникая в сферы, которые традиционно опирались на строгие математические методы и аналитические расчёты. Одной из таких областей является механика твердого тела — фундаментальная дисциплина инженерного образования, лежащая в основе проектирования конструкций и механизмов. Расчёт напряжений и деформаций, анализ устойчивости, определение предельных нагрузок требуют высокой точности, глубокого понимания физических процессов и значительных временных затрат.
Одним из разделов механики твердого тела является наука о сопротивлении материалов — это инженерная наука и дисциплина, изучающая методы расчёта элементов конструкций и машин на прочность, жёсткость и устойчивость. Она помогает определить безопасные размеры деталей, чтобы они не разрушались и не деформировались под нагрузкой. Здесь рассматриваются элементы конструкции стержни, балки, валы и пластины в упрощённых моделях.
Мы заменяем реальную деталь идеализированной схемой (балка, стержень, вал), принимаем гипотезы (малые деформации, линейная упругость, однородный материал) и получаем аналитические формулы.
Основные аспекты сопромата включают в себя:
Прочность — способность выдерживать нагрузки без разрушения.
Жесткость — способность сохранять форму и размеры (минимальная деформация).
Устойчивость — способность сохранять исходную форму равновесия [2].
Одним из способов определения прочности, жесткости и устойчивости является метод конечных элементов (МКЭ). МКЭ — это численный способ решения уравнений механики сплошной среды. Разбиваем конструкцию на маленькие элементы (сетку). Внутри каждого элемента приближаем поле перемещений простыми функциями. Собираем глобальную систему уравнений:
Рис. 1. Определение и методы уточнения сетки методом конечных элементов
Методы определения прочности [1]
1) Закон Гука[1] (для линейных упругих материалов):
где: E — модуль Юнга
[2]
;
Удлинение стержня:
где : [K] — матрица жёсткости; {u} — перемещения; {F} — нагрузки.
2) Критерии прочности[3]. Когда в точке есть сложное напряжённое состояние (σx, σy, τxy), нужно определить — наступит ли текучесть.
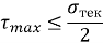
3) Критерий Мизеса[4] (энергетический критерий, наиболее распространён)
Эквивалентное напряжение:
Условие прочности
где:
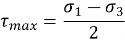
4) Критерий Треска[5] (критерий максимальных касательных напряжений)
при условии
Что меняет искусственный интеллект
В сопромате и инженерной механике сегодня активно используют связку численного моделирования (FEM) и машинного обучения (ML).
FEM — Предсказание усталостных трещин. В классическом сопромате при анализе усталостной прочности применяются:
- S-N-кривые (кривые Вёлера) — для определения числа циклов до разрушения;
- критерии Гудмана и Гербера — для учёта влияния среднего напряжения.
Эти методы позволяют оценивать долговечность элементов конструкций, однако основаны на ряде упрощающих предположений.
Метод конечных элементов (FEM) существенно расширяет возможности анализа. Он позволяет вычислять распределение напряжений и деформаций, коэффициенты интенсивности напряжений (SIF), зоны концентрации напряжений и влияние сложной геометрии и граничных условий. Тем не менее, FEM имеет ограничения такие как, высокая вычислительная стоимость, сложность моделирования трещин произвольной формы, необходимость многократных пересчётов при росте трещины, вариативность и неопределённость реальных условий нагружения. Эти ограничения особенно критичны при задачах мониторинга состояния конструкций в реальном времени.
ML — позволяет дополнить классические и численные методы, ускоряя расчёты и повышая адаптивность моделей. ML-модели обучаются на результатах, FEM-расчётов или экспериментальных данных [3].
Входные параметры: тензор напряжений; амплитуда циклической нагрузки; геометрические характеристики; свойства материала. Что в выходе дает параметры: вероятность зарождения трещины; прогноз числа циклов до разрушения. Используемые методы: искусственные нейронные сети (ANN); градиентный бустинг[6]; графовые нейросети (для работы с mesh-структурами).
Рис. 2. Градиентый бустинг
Вместо многократного FEM-пересчёта при росте трещины ML может предсказывать скорость роста, обновлять поле напряжений приближённо b работать в режиме реального времени. Такой метод применяется в авиации энергетике, турбомашинах. К примеру, такие методы исследуются в проектах при участии NASA для мониторинга состояния конструкций.
Интеграция FEM и ML в механике формирует новый подход к анализу прочности и долговечности конструкций. Такой гибридный метод сочетает физическую строгость численного моделирования с вычислительной эффективностью и адаптивностью алгоритмов искусственного интеллекта.
Главным преимуществом связки FEM + ML является существенное ускорение расчётов. После обучения суррогатных-моделей[7] способна выполнять предсказания в 100–1000 раз быстрее по сравнению с полноценным FEM-пересчётом. Это особенно важно при многократных повторениях проектирования или при моделировании роста трещин.
Второе важное преимущество — работа с неопределённостью. ML-модели позволяют учитывать вариации нагрузок, начальных дефектов и свойств материала без необходимости проводить тысячи отдельных детерминированных расчётов. Это делает анализ ближе к реальным условиям эксплуатации [4].
Третье преимущество — эффективная оптимизация многопараметрических задач. Классические методы плохо масштабируются при увеличении числа параметров (геометрия, материалы, режимы нагружения). ML позволяет быстрее находить оптимальные конфигурации, автоматизируя процесс проектирования.
Важно подчеркнуть, FEM + ML не заменяют классические основы сопротивления материалов — закон Гука, уравнения равновесия, критерии прочности и механику разрушения. Эти фундаментальные принципы остаются базой модели. Новые методы лишь ускоряют расчёты, автоматизируют проектирование и позволяют анализировать сложные геометрические формы.
Происходит переход от традиционного «расчёта по формуле» к интеллектуальному цифровому проектированию, где физические модели и алгоритмы машинного обучения работают совместно, усиливая возможности друг друга.
Заключение
Применение искусственного интеллекта в сопротивлении материалов демонстрирует значительный потенциал в повышении скорости и точности расчётов, автоматизации анализа и оптимизации инженерных решений. Алгоритмы машинного обучения способны выявлять сложные закономерности в поведении материалов, прогнозировать возможные дефекты и предлагать эффективные конструктивные решения на основе накопленных данных.
Литература:
- Аналитическая динамика частиц и твёрдого тела / Уиттекер Э. Т. — М.: Гостехиздат, 1937. — 500 с.
- Динамика системы твёрдых тел / Раус Э. Дж. — М.: Наука, 1983. — 464 с.
- Искусственный интеллект: современный подход / Рассел С., Норвиг П. — М.: Вильямс, 2016. — 1408 с.
- Искусственный интеллект / Уинстон П. — М.: Мир, 1980. — 520 с.
[1] Закон Гука — это фундаментальный физический принцип, устанавливающий, что сила упругости, возникающая при деформации (растяжении или сжатии) тела прямо пропорциональна изменению его длины. Формула:
[2] Модуль Юнга — физическая величина, характеризующая способность материала сопротивляться растяжению, сжатию при упругой деформации. Обозначается большой буквой Е. Назван в честь английского физика XIX века Томаса Юнга.
[3] Критерии прочности — это теоретические модели (гипотезы) определяющие предельное состояние материалов (текучесть или разрушение) при сложном напряженном состояниисопоставляя его с простым одноосным растяжением. Основные критерии: наибольших нормальных напряжений (хрупкие материалы) наибольших касательных напряжений (Треска) и энергетическая теория (фон Мизеса) для пластичных материалов
[4] Критерии Мизеса — это критерии прочности пластичных материалов определяющие момент перехода в пластическое состояние при сложном напряженном состоянии когда интенсивность касательных напряжений достигает критического значения (предела текучести). В основе лежит энергия формоизменения: материал течет если эта энергия достигает критической величиныполученной из опыта на растяжение.
[5] Критерий Треска — это теория пластичностиу тверждающая что текучесть (пластическая деформация) материала начинаетсяк огда максимальное касательное напряжение в точке достигает значения, соответствующего пределу текучести при одноосном растяжении.
[6] Градиентный бустинг — это мощный метод машинного обучения, создающий ансамбль слабых моделей (обычно решающих деревьев) последовательно, где каждое следующее дерево обучается исправлять ошибки предыдущих. Он использует градиентный спуск для минимизации функции потерьобеспечивая высокую точность на табличных данных и решая задачи регрессии и классификации
[7] Суррогатное моделирование — это особый случай машинного обучения с учителем, применяемый в области инженерного проектирования.

