Технологическая карта урока
Предмет: Трудные вопросы изучения математики (учебный курс — урок для подготовки к ОГЭ)
Тема: «Геометрия в текстовых задачах на прямолинейное встречное движение из ОГЭ»
Тип урока: урок усвоения новых знаний
Цель урока: создание условий для расширения знаний учащихся в области методов решения текстовых задач на прямолинейное движение.
Планируемые результаты обучения, в том числе и формирование УУД:
Предметные УУД:
- Умение строить и интерпретировать графики зависимости расстояния от времени (-s(t)) для прямолинейного движения с постоянной скоростью;
- Умение определять скорость тела по углу наклона графика s(t);
- Умение применять понятие подобия треугольников для решения задач на встречное движение;
- Умение переводить текст задачи на математический язык (составление уравнений) и геометрический язык (графическое представление);
- Умение обобщать и систематизировать знания о различных типах задач на движение.
Познавательные УУД:
- Искать и находить способы решения задач;
- Менять и удерживать разные позиции в познавательной деятельности (быть учеником и учителем; формулировать образовательный запрос; ставить проблему и работать над ее решением);
- Умение использовать различные модельно-схематические средства для представления информации, как имеющейся, так и собственной;
- Приводить критические аргументы, как в отношении собственного суждения, так и в отношении действий и суждений другого.
Коммуникативные УУД:
- Осуществлять деловую коммуникацию как со сверстниками, так и со взрослыми;
- Развернуто, логично и точно излагать свою точку зрения с использованием адекватных (устных и письменных) языковых средств;
- Воспринимать критические замечания как ресурс собственного развития;
- Быть как руководителем, так и членом команды в разных ролях.
Регулятивные УУД:
- Самостоятельно определять цели образовательной деятельности;
- Оценивать ресурсы, в том числе время, необходимые для достижения поставленной цели;
- Определять несколько путей достижения цели;
- Выбирать оптимальный путь достижения цели с учетом эффективности расходования ресурсов.
Личностные УУД:
- Ориентация обучающихся на инициативность, креативность;
- Готовность и способность реализовывать самостоятельную, творческую и ответственную деятельность;
- Сотрудничество со сверстниками, взрослыми в образовательной среде;
- Готовность и способность к образованию, сознательное отношение к непрерывному образованию как условию успешной профессиональной деятельности;
- Физическое, эмоционально-психологическое благополучие обучающихся в жизни образовательной организации, ощущение детьми безопасности и психологического комфорта;
- Самооценка результатов деятельности, осознание границ применения нового знания;
- Ориентации обучающихся на достижение личностного счастья, реализацию позитивных жизненных перспектив.
Ресурсы :
- Информационные ресурсы: дидактические материалы: карточки с заданиями; методические разработки для учителя;
- Материально-технические ресурсы: оборудование: ноутбук, проектор, экран; доска; раздаточный материал: листы для самооценки; канцелярские принадлежности.
Конструкт урока
|
Этапы урока |
Содержание учебного материала. Деятельность учителя |
Деятельность обучающихся |
Формирование УУД |
|
1. Организационный этап |
Учитель приветствует учащихся и настраивает их на урок. Убеждается, что все учащиеся на месте, обсуждает причины отсутствия, если это необходимо. Оценивает готовность учащихся к занятию. Создает положительный эмоциональный настрой. Речь: Здравствуйте, ребята! Рада вас видеть. Сегодня все присутствуют в классе? У всех ли есть учебники, ручки, тетради, вспомогательные листы? Устраивает ли температура в классе? Надеюсь, вы готовы сегодня активно поработать, тем более, что тема коснется заданий ОГЭ. Кстати, с этими заданиями мы уже знакомы и успешно с ними справлялись. Уверена, что при прохождении этой темы у нас с вами все получится. |
Приветствуют учителя. Проверяют свою готовность к уроку: наличие учебников, тетрадей, письменных принадлежностей. Обсуждают готовность к занятию, настраиваются на работу. |
Личностные: формирование готовности и способности к образованию. |
|
2. Постановка цели и задач урока. Мотивация учебной деятельности учащихся |
Показывает короткую анимацию ( https://cloud.mail.ru/public/oChN/zEdRCRufw ) или использует онлайн сервис (например, GeoGebra) с визуализацией движения двух тел (точек/автомобилей/поездов). Задает ученикам вопросы: Что вы видите на экране? Что происходит с объектами? Как определить, где и когда они встретятся? Что для этого нужно? После обсуждения подводит к мысли о том, что визуализация позволяет «увидеть» решение. Спрашивает: Как мы можем назвать способ решения задач, основанный на «визуальном» представлении движения? Какая цель нашего занятия и можем ли мы ее уже достичь имеющимися знаниями. А если нет, то что нужно изучить дополнительно? Поддерживает активное участие учеников, поощряет их вопросы и идеи, комментируя каждую их них, создавая атмосферу сотрудничества. |
Наблюдают за анимацией, анализируют движение объектов. Предлагают способы определения места и времени встречи. Приходят к выводу о необходимости использования наглядного изображения сути задач ввиду получения там, например, треугольников с определенными данными. Формулируют тему, цель урока на основании помощи учителя. Задают вопросы по теме, активно участвуют в обсуждении, предлагают свои идеи. |
Личностные: 1. Формирование готовности и способности реализовывать самостоятельную деятельность; 2. Формирование компетентности сотрудничества со сверстниками, взрослыми в рамках совместной деятельности. 3. Ориентация на инициативность, креативность. Регулятивные: формирование умения самостоятельно определять цели образовательной деятельности. Познавательные: 1. Формирование умения менять и удерживать разные позиции в познавательной деятельности (быть учеником и учителем, формулировать образовательный запрос); 2. Формирование умения искать и находить способы решения задач. Коммуникативные: формирование умения осуществлять деловую коммуникацию как со сверстниками, так и со взрослыми. |
|
3. Актуализация знаний. |
Задает вопросы для восстановления в памяти учеников необходимых знаний: Что такое прямолинейное движение? Какие величины характеризуют движение? Как они связаны между собой? Какие алгоритмы и схемы решения текстовых задач на движение по прямой вы знаете? Помогает отвечать на вопросы, акцентирует внимание на правильных ответах, дополняет их при необходимости, корректирует и объясняет неверные суждения, еще раз акцентируя внимание на «универсальном» алгоритме решения текстовых задач на движение по прямой: Таким образом, универсальный метод решения текстовых задач на движение следующий: 1. Сначала в таблицу вносим «х» в зависимости от вопроса задачи; 2. Полностью заполняем начатый «неизвестный» столбец (обычно это скорость); 3. Далее заполняем полностью «известный» столбец (обычно это расстояние (но если оно неизвестно и находить не нужно, то берем за «1»)); 4. Зная два столбца, заполним оставшийся «пустой» столбец и составим уравнение. Удобно, что есть определенная схема, правило, которым можно следовать при решении задач. Однако, конечно, нередко это занимает много времени ввиду оформления таблиц, составления и решения уравнений. Давайте попробуем оценить время решения задачи: «Из А в Б и из Б в А выехали два мотоциклиста. Первый прибыл в Б спустя 2,5 часа после встречи, а второй прибыл в А через 1,6 часа после встречи. Сколько часов был в пути каждый? Ждем решения (правильный ответ) первых десяти учеников и находим среднее время решения задачи. Засекает время и решает задачу отдельно от ребят. Оценивает количество поднятых рук с правильным ответом. Когда получилось 10, подводит итог: Итак, ребята, на решение уходит примерно 7,08 минут. Думаю, что вы со мной согласитесь с необходимостью рассмотрения геометрического метода решения задач с целью проверки его рациональности.
|
Отвечают на вопросы учителя, вспоминая и комментируя изученный ранее материал. Слушают корректировки педагога, при необходимости фиксируя «забытые» термины, формулы, алгоритм в тетради. Решают предложенную учителем задачу совместно описанным алгебраическим методом. Оценивают время решения задачи. Выявляют сложности ее решения при реализации ранее известного метода. Осознают необходимость поиска более эффективного способа решения текстовых задач на движение. |
Личностные: 1. Формирование готовности и способности реализовывать деятельность самостоятельно; 2. Формирование готовности и способности вырабатывать собственную позицию при решении задач; 3. Формирование компетенций сотрудничества со сверстниками, взрослыми в процессе выполнения деятельности; 4. Формирование готовности и способности к образованию, стремления к образованию как к условию успешной профессиональной деятельности. Регулятивные: формирование способности оценивать ресурсы, в том числе время, необходимые для достижения поставленной цели. Коммуникативные: 1. Формирование умения осуществлять коммуникацию как со сверстниками, так и со взрослыми; 2. Формирование умения развернуто, логично и точно излагать свою точку зрения с использованием адекватных (устных и письменных) языковых средств; 3. Формирование умения воспринимать критические замечания как ресурс собственного развития. |
|
4. Первичное усвоение новых знаний. |
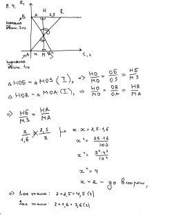
Осуществляет знакомство с новым методом. Ребята, хотелось бы сказать, что, во-первых, применение геометрического метода может поспособствовать разрушить миф о том, что учебные курсы алгебры и геометрии совершенно независимые. Во-вторых, этот метод наиболее красивый. осталось проверить его рациональность. Геометрический метод с использованием подобия треугольников особенно полезен для решения задач, связанных со встречным движением, движением вдогонку. В этих задачах часто возникают пропорциональности, которые можно элегантно решить через подобие треугольников на графиках. Построение графика (обычно зависимости x(t) — положение от времени): Ось X: Время (t). Ось Y: Положение (x) — расстояние. Изобразите траектории движения каждого объекта как прямые линии на графике x(t). Если движение равномерное (скорость постоянна), это будут прямые линии. 2. Определение ключевых точек и линий: Точки начала движения каждого объекта (t₁, x₁) Точки встречи (tₒ, xₒ) — точка, где линии графиков объектов пересекаются. Продолжите линии движения до пересечения с осями координат (x и t). Это может помочь создать подобные треугольники. Обозначьте все известные расстояния, времена и скорости на графике. Подчеркиваю, что чем больше абсолютное значение углового коэффициента (т. е., чем круче прямая), тем больше скорость тела. Горизонтальная линия означает, что тело не движется (скорость равна нулю). При этом скорость равна тангенсу угла наклона графика "расстояние-время" к оси времени (так как скорость это и есть отношение расстояния ко времени). 3. Поиск подобных треугольников: Ищите пары треугольников, которые имеют одинаковые углы. Обычно это достигается за счет вертикальных углов, параллельных прямых (соответствующие или внутренние накрест лежащие углы равны) и прямого угла (если линии перпендикулярны осям). Важно правильно определить, какие стороны треугольников являются соответственными (то есть соответствуют друг другу в подобных треугольниках). Таким образом, решим задачу геометрически: построим две оси: горизонтальную (времени t) и вертикальную (положение пути х). Пусть эти оси пересекаются в точке «А» — начало движение первого тела. На луче AS отметим точку «Б» — начало движение второго тела. Отметим точку О — их место встречи (учитывая то, что 1ое тело после встречи ехало дольше). Проведем через точку О прямые до пересечения с осями x и t, тогда получили отрезки AS — время движения первого тела и БR — время движения второго тела. Проведем через т. О HM перп. AS и перп. БR, отражающую время, через которое произошла встреча, следовательно, треугольники подобны (по двум равным углам, одни равны как углы при перпендикулярах, а другие как вертикальные), значит треуг. HOБ ~ треуг. MOS и треуг. HOR ~ треуг. MOA (по 1 приз.). Далее он составляет соотношения и из полученных уравнений получает искомое, отмечая что отрезки времени до встречи равны (например, по «х») Время, отведенное на эту работу ~3,25 минут (с учетом объяснения/проговаривания).
Какие ваши впечатления, ребята, от данного метода? Действительно, метод более рациональный, избавляет от решения систем, составления таблиц, систем уравнений, что, конечно, удобно для сохранения времени для решения других задач, требующих «большего внимания», да и в целом — для реализации второго способа с целью проверки. |
Воспринимают и осмысливают объяснение учителя, кратко записывают основные этапы решения задач графическим методом. Задают уточняющие вопросы. Оценивают рациональность метода, его применимость на практике. |
Личностные: формирование готовности и способности обучающихся вырабатывать собственную позицию при решении задач. Регулятивные: формирование умения выбирать оптимальный путь достижения цели с учетом эффективности расходования ресурсов. Коммуникативные: формирование умения осуществлять деловую коммуникацию как со сверстниками, так и со взрослыми. |
|
Этап снятия переутомления/усталости (2 мин) |
Предлагает выполнить комплекс упражнений для снятия напряжения. «Мы считаем — мы круты, прокачаем мозг и … плечи!» (круговые движения плечами назад 4 раза, вперед 4 раза); «Если тело устало — нужно его разогнать! Как функция y=x — потянемся наискосок!» (правой рукой вверх-налево, потом левой — вверх-направо (по диагонали) 4 раза); «Корень из энергии — это прыжок!» (3-5 легких прыжков на месте) «Раскрываем скобки — и руки в стороны!» (резко развести руки в стороны, как будто раскрываете скобки (3 раза)); «Числа в голове встают по порядку — а мы с вами делаем зарядку!» (4 шага на месте). А теперь, ребята, вернемся к работе». |
Выполняют упражнения под руководством учителя. |
Личностные: физическое, эмоционально-психологическое благополучие обучающихся в жизни образовательной организации, ощущение детьми безопасности и психологического комфорта |
|
5 . Первичная проверка понимания |
Предлагает ученикам в течение 3-4 минут самостоятельно составить опорную схему, памятку, алгоритм или ключевые фразы, которые помогут решить задачу геометрическим методом. Учитель подчеркивает, что «опора» должна быть индивидуальной — отражать личное мнение и понимание материала с любым способом оформления. Учитель обеспечивает консультационную поддержку, отвечает на вопросы при создании опор, помогает разобраться в сложных моментах, предлагает альтернативные способы представления информации. Здесь учитель задает вопросы: Какая из осей является отражением времени, расстояния? Как построить график, чтобы он визуально соответствовал условию задачи? Как по графику определить время встречи, точки начала движения? Скорость? После завершения передайте, пожалуйста, ваши конспекты с последней парты на первую, я их соберу и развешу на доске для анализа и корректировки пока вы будете решать задачу. Не переживайте за корректность этой работы, это ваше личное мнение и видение метода решения задачи. Восстановить его детали я вам помогу. Подписывать или нет — на ваше усмотрение. |
Восстанавливают пройденный материал в памяти, его ключевые понятия. Самостоятельно создают индивидуальные опорные конспекты: схемы, алгоритмы, используя пример разобранной задачи, теоретический материал. Задают вопросы учителю при возникновении затруднений. После создания «опор» каждый ученик анонимно или подписано передает ее с последней парты на первую для будущей корректировки учителем. |
Личностные: 1. Формирование ориентации обучающихся на инициативность, креативность; 2. Формирование готовности и способности реализовывать самостоятельную, творческую деятельность; 3. Формирование компетенций сотрудничества со сверстниками, взрослыми в рамках реализации деятельности. Познавательные: формирование умения использовать различные модельно-схематические средства для представления информации, как имеющейся, так и собственной. Коммуникативные: 1. Формирование умения осуществлять деловую коммуникацию как со сверстниками, так и со взрослыми. 2. Формирование умения развернуто, логично и точно излагать свою точку зрения с использованием адекватных (устных и письменных) языковых средств. |
|
6 . Первичное закрепление |
Организует работу учащихся в небольших группах (по 3-4 человека) для активного взаимодействия и обмена мнениями. Каждой группе выдается задача на прямолинейное движение, которую нужно решить геометрически. Ребята, сейчас мы поработаем в группах. Соединитесь, пожалуйста, 1ая парта со 2ой, 3ья с 4ой). У вас на столе карточка с задачей. Внимательно прочитайте условие и решите ее. У вас есть 5-7 минут. Постарайтесь работать сообща. начните с построения графиков. Обсудите, как это лучше сделать. Корректирует карточки/листы на доске, вписывая дополнительные суждения и рекомендации. Наблюдает за работой групп. Уточняет у каждой группы ответ к задаче, описывает ее решение у доски, проговаривая каждый шаг, аналогично шагам, приведенным изначально в объяснении в п.4. Речь: Я внесла некоторые корректировки в ваши записи — схемы, алгоритмы. Если группа готова дать ответ — поднимите руку. Спасибо за Ваше активное и ответственное участие! Ждем остальных. Важно помнить о необходимости грамотной записи соотношений сторон подобных треугольников на основании отмеченных равными линиями вершин треугольников. Сегодня мы сделали важный большой шаг вперед в понимании методов решения текстовых задач на прямолинейное движение. |
Активно участвуют в обсуждении задачи, предложенной учителем, в рамках своей группы (3-4 чел.). Совместно с ребятами при поддержке учителя выделяют известные и искомые величины. Используя знания о геометрическом представлении движения (например, о графике зависимости пути от времени), строят геометрическую модель, отражающую условие задачи. Используют построенную геометрическую модель для решения задачи. Аргументируют свой подход к решению и выслушивают мнения других членов группы. Приходят к общему решению и представляют его. |
Личностные: 1. Формирование ориентации обучающихся на инициативность; 2. Формирование готовности и способности реализовывать самостоятельную, ответственную деятельность; 3. Формирование компетенции сотрудничества со сверстниками, взрослыми в образовательной среде; Регулятивные: формирование умения оценивать ресурсы, в том числе время, необходимое для достижения поставленной цели. Познавательные: формирование умения приводить критические аргументы, как в отношении собственного суждения, так и в отношении действий и суждений другого. Коммуникативные: 1. Формирование умения осуществлять деловую коммуникацию как со сверстниками, так и со взрослыми; 2. Формирование умения воспринимать критические замечания как ресурс собственного развития. 3. Формирование умения быть как руководителем, так и членом команды в разных ролях. |
|
7 . Информация о домашнем задании, инструктаж по его выполнению |
Объявляет домашнее задание. Ребята, предлагаю вашему вниманию домашнее задание: 1. Необходимо решить задачу с иллюстрации:
Напоминаю, что задачи решаются геометрическим методом (построение графиков движения тел при зависимости расстояния от времени и исследование полученных фигур). 2. Рассмотреть видео-урок решения задачи с ДВИ в МГУ 2016 года по ссылке: https://yandex.ru/video/preview/8790134508123370969 3. По желанию выполнить задание, требующего большей внимательности в понимании теории:
4. Выполнить корректировку алгоритмов, схем представления темы, составленных на уроке, на основании полученных дополнений. Ребята, если не получится решить задания новым методом, то не оставляйте их, пожалуйста, без внимания, а примените другие уже освоенные ранее способы решения. Отвечает на вопросы учеников. Отмечает, что часто при решении задач данным методом возникают ошибки при нахождении и записи подобных треугольников и соотношений в этих треугольниках. Поэтому наряду с выполнением домашнего задания предлагает учащимся вспомнить признаки подобия треугольников. |
Записывают домашнее задание, задают вопросы. |
Коммуникативные: формирование умения осуществлять деловую коммуникацию как со сверстниками, так и со взрослыми. |
|
8.Рефлексия (подведение итогов занятия) |
Задает вопросы для оценки уровня понимания каждого аспекта темы, то, что дополнительно хотят узнать учащиеся. Создает атмосферу открытости, безопасности. Речь: Сегодня вы сами сформулировали тему и цель урока. Теперь попробуем вместе подвести итоги и оценить, что у нас получилось. Не бойтесь быть откровенными, важно понять, что мы освоили хорошо, а над чем нужно еще поработать. Задает вопросы для обсуждения: 1. Какой метод решения текстовых задач на движение мы применяли сегодня? Какие его преимущества и недостатки? 2. Изменение каких параметров задачи может вызвать у вас вопросы, как вы считаете? Просит учеников расслабиться, говорит тихим и спокойным голосом: «Ребята, давайте сделаем небольшую паузу и проведем рефлексию, которая поможет вам и мне лучше понять, что вам сегодня удалось достичь на уроке, а что вызвало затруднения. Важно помнить, что все ваши мысли, мнения ценны и конфиденциальны. Все, что вы напишете, можете оставить у себя, а можете поместить в коробку мнений, которая в конце класса». Осуществляет проведение «музыкальной» рефлексии: Сейчас я включу 2 типа мелодий, под которые необходимо описать ваши ассоциации, связанные с уроком, темой. Возможно, это будут ваши эмоции, мысли, знания, понятные/непонятные моменты, то, что хотелось бы еще узнать, что было полезно, интересно, а что является лишним. Дает инструкцию к грустной (Ghostrifter Offical — Demised To Shield) мелодии (1 минута): Сейчас прозвучит небольшая музыкальная зарисовка. Прослушайте ее, пожалуйста, и постарайтесь почувствовать, какие эмоции она у вас вызывает. С каким этапом урока она связана, что вы ощущаете при этом. Далее повторяет то же самое с «легкой, солнечной» мелодией (Harmonic Bloom — Grigoriy Burtayev). Завершает рефлексию: Я благодарю вас за такой продуктивный урок, за ваше активное участие, поддержку и искренность. Можете быть свободны. До встречи, ребята!. После занятия внимательно анализирует все мнения и предложения. Изучает общие тенденции затруднений и достижений. Оценивает какое «музыкальное настроение» преобладает в большей степени. Использует эту информацию для корректировки собственной педагогический стратегии и планирования будущих уроков. На следующем уроке при продолжении рассмотрения темы объясняет то, над чем будет работать, исходя из анализа мнений и рекомендаций. |
Обсуждают результаты деятельности. Осознают то, что удалось понять по выдвинутой теме, отмечают трудности и намечают пути их преодоления. Слушают предложенные музыкальные отрывки, анализируют свои ощущения и ассоциации, возникающие при прослушивании мелодии. При желании анонимно или с подписью сдают полученные «мнения». |
Личностные: 1. Формирование ориентации обучающихся на достижение личностного счастья, реализацию позитивных жизненных перспектив; 2. Формирование физического, эмоционально-психологического благополучия обучающихся в жизни образовательной организации, ощущение детьми безопасности и психологического комфорта; 3. Самооценка результатов деятельности, осознание границ применения нового знания. Регулятивные: формирование умения сопоставлять полученный результат деятельности с поставленной заранее целью. Познавательные: формирование умения приводить критические аргументы, как в отношении собственного суждения, так и в отношении действий и суждений другого. Коммуникативные: 1. Формирование умения осуществлять деловую коммуникацию как со сверстниками, так и со взрослыми; 2. Формирование умения развернуто, логично и точно излагать свою точку зрения с использованием адекватных (устных и письменных) языковых средств. |

