Экономическую основу существования и развития человеческого общества составляет материальное производство, в котором ключевая роль принадлежит технологиям или технологическим процессам (ТП).
Создание и внедрение в материальное производство современных технологий (технологических процессов) высокого технического и экономического уровня невозможно осуществить без применения теоретического, методологического и практического аппарата физической науки к описанию их сущности и содержания.
Однако, в настоящее время, в разделах физики отсутствуют физические представления о сущности и содержании технологических процессах, не представлено применение законов, закономерностей и принципов, на основе которых эти процессы совершаются. Не раскрыто содержание системного, функционального и энергетического подходов, первого и второго законов технической термодинамики применительно к технологическим процессам.
Так, например, для иллюстрации применения первого закона сохранения и превращения энергии в школьном учебнике 10 класса по физике было написано, что « в механике было доказано, что если между телами действуют силы, зависящие только от расстояния, то при переходе системы тел из начального состояния 1 в конечное 2 изменение энергии равно работе внешних сил» [1, c. 154]:
В другом школьном учебнике по физике 10 класса написано : «Согласно теории об изменении кинетической энергии работа силы, действующей на тело, равна изменению его кинетической энергии» [2, c.143]:
В приведенном выше первом примере не раскрыто понятие «система тел» в физике и физические параметры, характеризующие систему тел в различных состояниях. Во втором примере нет упоминания о системе тел вообще. Речь идет о работе силы, действующей на одно тело, в результате которой изменяется кинетическая энергия тела. И как это можно себе представить?
Следует отметить, что в приведенных примерах используются разные трактовки применения закона сохранения и превращения энергии и не раскрывается физическая природа энергетических процессов, связанных с изменением физических параметров системы.
Нет в учебниках практических примеров, раскрывающих суть закона сохранения и превращения энергии и работы внешних сил или работы силы, действующей на тело. Получается, что приведенный выше закон сохранения и превращения энергии носит абстрактный характер, который невозможно применить на практике.
Следует также отметить, что физические законы, как законы природы, неразрывно связаны с экономическими законами, ибо нарушение физических законов, может привезти к огромным потерям в экономической деятельности людей. И физика должна устанавливать законы, их сущность, содержание и использование в производственной деятельности людей.
В этой связи попытка разработки некоторых физических представлений об энергетике технологических процессов и концептуальных моделей для их описания является целью настоящей статьи.
Объектом настоящего исследования являются технологические процессы механической обработки деталей резанием или механические процессы.
Каждый ТП, с одной стороны, является процессом материальным, так как превращает в пространстве и времени предметы труда в продукты труда, с другой стороны, является процессом энергетическим, ибо совершается за счет затраты и преобразования энергии. Оба эти процесса взаимосвязаны и взаимообусловлены, так как без затраты и преобразования энергии не происходят и материальные преобразования предмета труда в продукт труда.
Компоненты ТП составляют в совокупности технологическую систему (ТС), в которой каждый компонент выполняет определенную функцию, а вместе они выполняют ТП.
Технологический процесс и технологическая система — это понятия взаимосвязанные. Так как, ТП представляет собой ТС в движении (динамике), а ТС представляет собой ТП в состоянии покоя (статике). А покой, как известно, является частным случаем движения.
В зависимости от степени участия человека в ТП различают ручной, машинно-ручной и машинный ТП, каждый из которых имеет свой состав компонентов. Так, компонентами ручного ТП являются человек, средства труда и предмет труда, составляющие ТС типа «человек — средства труда — предмет труда» (ТС ручного типа). Компонентами машинно-ручного ТП являются человек, средства труда, рабочая машина, предмет труда и источник энергии машины, составляющие ТС типа «человек — средства труда — машина — предмет труда — источник энергии» (машинно-ручного типа ТС). Компонентами машинного ТП являются человек, машина, предмет труда и источник энергии, составляющие ТС типа «человек — машина — предмет труда — источник энергии» (машинного типа ТС).
С позиции механики все компоненты ТП являются телами. Так, человек представляет собой живое тело, средство труда, предмет труда, внешние источники энергии неживой природы являются неживыми телами. В свою очередь, все тела являются веществами (твердые, жидкие, газообразные), которые обладают внутренней энергией, величина которой определяется произведением массы тела на квадрат скорости света.
В ТП ручного типа энергетический процесс начинается от человека (тела), как источника энергии, от которого энергия передается средству труда (телу), а от средства труда передается предмету труда (телу) на его обработку. Материальный процесс начинается от воздействия средства труда (тела) на предмет труда (тело).
В качестве практического примера ручного ТП можно назвать процесс кошения травы ручной косой на естественных или искусственных лугах.
Все компоненты (тела) ТП (ручного, машинно-ручного и машинного) являются в терминах экономической науки его производительными силами.
Применение в естественных науках термина «сила» критиковал Ф. Энгельс в работе «Диалектика природы». Под категорией «сила» Энгельс понимал перенос (передачу) какого-нибудь движения с одного тела на другое и поскольку движение переходит, то оно активно, его можно рассматривать как причину движения. Представляя силу как движение, Энгельс на основе анализа различных форм движения материи, писал: «Всякое движение состоит во взаимодействии притяжения и отталкивания» … «...что форма движения, рассматриваемая здесь как отталкивание, есть та самая, которая в современной физике обозначается как «энергия» [3, c. 52, 54].
В этой связи, современное понятие «сила» во многих случаях адекватно понятию «энергия». Поэтому с позиции энергетического подхода все производительные силы ТП любого типа обладают внутренней энергией.
В технической термодинамике абсолютные величины внутренней энергии, содержащейся в веществе (теле), не определяют, а определяют лишь изменение внутренней энергии тела, что и характеризует его энергетический потенциал, т. е. энергетический потенциал производительной силы ТП.
В состоянии покоя энергетический потенциал ТП не изменяется, он изменяется лишь в состоянии движения, когда происходит взаимодействие производительных сил, составляющих ТС определенного типа. Лишь при взаимодействии сил происходит изменение внутренней энергии производительных сил ТП.
Потеря или, наоборот, накопление внутренней энергии телом приводит к разрушению (изменению) его формы, размеров, строения, структуры и других свойств. Такова энергетическая природа любого вещества, а также энергетическая природа производительных сил ТП.
С позиции функционального подхода производительные силы выполняют в ТП следующие основные функции:
- организм человека выполняет функцию преобразователя химической энергии пищи в другие виды энергии внутри организма и передатчика механической энергии от своего двигательного аппарата к предмету труда;
- рабочая машина выполняет функцию приема энергии от внешнего источника энергии, ее преобразования и передачи предмету труда на выполнение работы по его обработке;
- внешний источник энергии выполняет функцию производства (получения) и передачи энергии рабочей машине;
- предмет труда выполняет функцию приема (потребления) энергии для превращения в продукт труда.
Для того, чтобы энергия от источника энергии передавалась предмету труда необходимо создать на концах кинематической (энергетической) цепи, связывающей предмет труда с источниками энергии разные энергетические потенциалы. Разность энергетических потенциалов в соответствии со вторым законом технической термодинамики обусловливает движение потока энергии от наибольшего потенциала к наименьшему потенциалу с преодолением сопротивления и растратой на эти сопротивления части своей внутренней энергии и передачу части энергии предмету труда на выполнение работы по его обработке.
В этой связи основным понятием в энергетике ТП является энергетический потенциал, который характеризует ту часть внутренней энергии производительной силы, которая используется в ТП.
При описании энергетических процессов, совершаемых в ТП, введем следующие допущения: 1) человек рассматривается в совокупности с пищей, что делает его источником, преобразователем и передатчиком механической энергии; 2) физическая природа разрушения (изменения) предмета труда от воздействия на него энергии не рассматривается; 3) во внимание принимаются лишь затраты человеческой энергии, связанные с выполнением трудовой деятельностью человека; 4) все ТП совершаются в изолированной от внешних факторов производственной среде.
В качестве примера рассмотрим три взаимосвязанные концептуальные модели описания энергетического процесса, совершаемого в ТС. Одна модель представляет собой структурно-энергетическую модель ТП, другая модель — уравнение энергетического баланса и третья модель — уравнение, отображающее превращение энергии в работу.
На рис.1 представлена структурно-энергетическая модель трудового технологического процесса, в котором производительные силы ТП изображены в виде прямоугольников, разделенных зонами взаимодействия. Векторная линия над прямоугольниками изображает энергетическую цепь, связывающую предмет труда с источником энергии. А ответвления от этой линии — потоки кинетической энергии, поступающие в зоны взаимодействия производительных сил ТП.
Рис. 1. Структурно-энергетическая модель ТП ручного типа [4, с. 32] Ч — человек; СТ — средство труда; ПТ — предмет труда; 1 — зона взаимодействия человека и средства труда; 2 — зона взаимодействия средства труда и предмета труда
В данном процессе человек с помощью средства труда воздействует на предмет труда с целью его целесообразного изменения (обработки). На осуществление этих взаимодействий затрачивается энергия человека, поток которой исходит от него и поступает в зоны 1 и 2, осуществляя взаимодействие соответственно Ч и СТ, СТ и ПТ, затем поступает к ПТ на выполнение работы по его обработке.
В рассматриваемом процессе предмет труда и средство труда не являются источниками энергии, а их материальное разрушение происходит за счет энергии человека, часть которой непроизводительно растрачивается в двух зонах взаимодействия, а другая часть поступает на целесообразное изменение предмета труда.
Расход энергии человека на выполнение работы по обработке предмета труда определяется как разность энергетических потенциалов человека в разные моменты времени, например, в начале рабочей смены и в конце рабочей смены по формуле:
где:
Уравнение (1) представляет собой закон сохранения и превращения энергии применительно к технологическим процессам.
Уравнение энергетического баланса для ТП ручного типа будет иметь следующий вид:
где:
Минимальная энергия
Потоки энергии, поступающие от человека в зоны взаимодействия компонентов, распределяются внутри каждой зоны пропорционально сопротивляемости компонентов разрушению. Так, в зоне 1 одна часть энергии из потока, поступившего в зону 1, растрачивается на разрушение средства труда со стороны действия человека, а другая часть — на разрушение двигательного аппарата человека (например, рук человека) со стороны действия средства труда. Аналогичным образом происходит распределение потока энергии, поступившего в зону — 2. Одна часть энергии растрачивается на разрушение предмета труда со стороны действия средства труда, другая часть энергия растрачивается на разрушение средства труда со стороны действия предмета труда. В зонах 1 и 2 происходит потеря энергии, т. е. неполезное ее использование. А энергия человека, используемая непосредственно на изменение формы и размеров предмета труда, является полезной энергией.
Но разрушение производительных сил ТП есть следствие работы сил, приложенных в зонах взаимодействия, вызванных к действию изменением энергетического потенциала человека, т. е. превращением растраченной энергии в работу. Тогда уравнение, отображающее превращение энергии в работу, будет иметь вид:
где:
В каждой зоне взаимодействия действуют силы, равные по величине, но вызывающие деформацию взаимодействующих компонентов в зависимости от их сопротивляемости разрушению. При разных деформациях взаимодействующих компонентов работа разрушения их в зонах взаимодействия будет различной.
Высшим этапом развития ТП является высвобождение человека от выполнения энергетических функции и передача этих функций рабочей машине. Человек, по выражению К. Маркса, «выходит из непосредственного производства и становится над ним и рядом с ним, превращается из агента производства в его надзирателя и регулировщика» [5, c. 213].
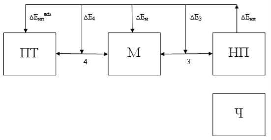
Рассмотрим концептуальные модели описания энергетического процесса, совершаемого в ТС машинного типа. В качестве рабочей машины используется машина-автомат, поэтому исследуемый процесс является автоматизированным ТП.
На рис. 2 представлена структурно-энергетическая модель ТП автоматизированного типа, в которой производительные силы изображены в виде прямоугольников, разделенных зонами взаимодействия. Векторная линия над прямоугольниками изображает энергетическую цепь, связывающую предмет труда с источником энергии. А ответвления от этой линии — потоки энергии, поступающие в зоны взаимодействия производительных сил и машину.
Рис. 2. Структурно-энергетическая модель ТП машинного типа [4,с. 37]. Ч — человек; НП — источник энергии; М — машина; ПТ — предмет труда; 3 — зона взаимодействия источника энергии и машины; 4 — зона взаимодействия машины и предмета труда
Энергетический процесс в автоматизированном ТП начинается от внешнего источника энергии неживой природы, от которого поток энергии на своем пути к предмету труда растрачивает свою энергию в зоне взаимодействия между источником энергии и машиной 3, в машине и в зоне взаимодействия между машиной и предметом труда 4. Оставшаяся часть энергия потребляется предметом труда.
Уравнение энергетического баланса машинного (автоматизированного) ТП будет иметь вид:
где:
Уравнение, отображающее превращение энергии в работу, будет иметь вид:
где:
Если разделить обе части уравнения (5) на время, затраченное на выполнение ТП, то получим баланс мощностей автоматизированного ТП:
где:
предмета труда;
Уравнение мощностей используется в практике при подборе мощности внешнего источника энергии на основе расчетной полезной мощности, потребной на обработку предмета труда, и расчетной мощности потерь в зонах взаимодействия производительных сил и машине.
Представленные выше концептуальные модели описания энергетических процессов в ТС служат практической иллюстрацией закона сохранения и превращения энергии, которых нет в работах [1] и [2].
Авторам школьных учебников физики необходимо уделять внимание представлению практических примеров для изучения энергетических и материальных процессов, происходящих в различных видах человеческой деятельности, а не только в частных примерах расчета работы сил при изменении вида энергии тела (блок, пружина, плоскость и т. п.).
Литература:
1. Мякишев Г. Я., Синяков А. З. Физика: Молекулярная физика. Термодинамика. 10 кл.: Учеб. для углубленного изучения физики. — М.: Дрофа, 1997. — 352 с.
2. Мякишев Г. Я. Физика. 10 класс: учеб. для общеобразоват. Организаций: базовый и углубленный уровни / Г. Я. Мякишев, Б. Б. Буховцев, Н. Н. Сотский; под ред. Н. А. Парфентьевой.- 6-е изд., перераб. и доп. — М.: Просвещение, 2019. — 432 с.
3. Энгельс Ф. Диалектика природы. — М.: Политиздат, 1982. –XV1, 359 с.
4. Мочулаев В. Е. Методология и практика применения энергетического подхода в машиностроении. — Ярославль: Ярославский институт руководящих работников и специалистов химической и нефтехимической промышленности. — 2003. — 133 с.
5. Маркс К. Капитал. Критика политической экономии. Т.1. Кн.1. Процесс производства капитала. — М.: Политиздат, 1988. — XV111, 891 с.

